思仪科技推出全新O波段6317B可调谐激光源

澳门原料大全44666c 2025-09-10 澳门原料大全44666c
1.jpg



随着相干光通信向Tbps级超高速演进、光纤传感网络向百万级测点规模扩展以及第三代半导体测试精度突破0.1pm量级,市场对高性能可调谐激光源的性能要求越发苛刻。为满足新场景下O波段光器件测试的光源激励,9月10日,澳门原料大全44666c(简称:思仪科技)在2025CIOE深圳光博会上,全新发布了6317B可调谐激光源,持续赋能光电行业的高速发展。




全新突破,更宽波长

可调谐激光源的宽波长调谐范围是支撑多场景泛在化应用的核心要素,该特性直接决定器件在密集波分复用(DWDM)、多光谱传感及量子通信异构组网中的兼容性。6317B可调谐激光源基于思仪科技多年光电测试仪器研发积累,突破多项关键技术与核心制造工艺;采用Littman型激光谐振腔设计,实现1260nm~1360nm全范围任意波长切换与连续扫描,通过选件更可扩展至1240nm~1380nm,全面满足O波段光系统及器件测试需求。         


2.jpg

图1 6317B光谱

 



高精高稳,高速高效

可调谐激光源作为高速光通信、精密传感及半导体测试的核心仪器之一,其波长精度、微瓦级功率稳定性和毫秒级调谐速度直接决定系统性能边界。6317B型突破性实现四维性能:±3pm绝对波长精度、±2pm(典型值±1pm)波长稳定、0.1-240nm/s连续无跳模扫描,可与光功率计、光开关、偏振损耗测试仪等光电仪器组建波长相关性测试系统,实现对光器件高稳定、高一致性、高精度、高效率的测试。

3.jpg




超窄线宽,助测相干

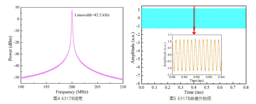
在光通信与传感应用中,光源线宽及相干特性直接影响系统性能。6317B可调谐激光源凭借超窄线宽和稳定扫描特性(连续无跳模调谐范围>100nm),可产生高信噪比拍频信号,满足光通信、光传感在航空航天、风力发电、交通运输等场景需求。同时,产品预留LAN、GPIB等丰富的远程控制接口,为OFDR、DWDM等测试仪器系统集成、产品开发、科学研究领域提供有力保障。



4.jpg

                    



思仪光电测试产品  持续为光电行业助力赋能

6317B可调谐激光源凭借其高波长精度、卓越功率稳定性、超窄线宽及连续无跳模扫描特性,可为光电子领域提供多维技术支撑,显著提升光器件测试效率,推动光学器件表征、量子计算研究、光谱分析技术、光纤网络监测及精密仪器校准等领域的创新发展。